KE 2015.04 FLIP srodek cz.I - page 93

4 / 2015 / vol. 4
Kosmetologia Estetyczna
391
A
artykuł
biznes i zarządzanie
gorące powietrze, który cały czas musiałam wypełniać,
żeby zachował zdolność latania. Nierobienie niczego było
jednoznaczne ze spadkiem. Ciągłe dodawanie STB do
firmy było gwarancją stałego wzrostu. Przeznaczeniem
wspomnianej techniki nie było długotrwałe istnienie,
ale raczej krótki okres funkcjonowania: rok, miesiąc, ty-
dzień, a czasem nawet jeden dzień. Używałam jej w celu
wsparcia istnienia głównej marki (LTB). Inne duże firmy
realizowały to tak: na przykład producent komputerów,
firma Apple to marka LTB. Ale Apple przygotowała serię
produktów STB, które miały działać na zasadzie wsparcia
i wzrostu sprzedaży Apple: IPod, iPod nano, iPod shuffle,
iPhone i Tunes. Żaden z tych produktów STB nie miał być
długoterminowy, tak jak Apple, ale mieć udział w sprze-
daży Apple, a także sprawiać, że stała się ona firmą inno-
wacyjną i pożądaną.
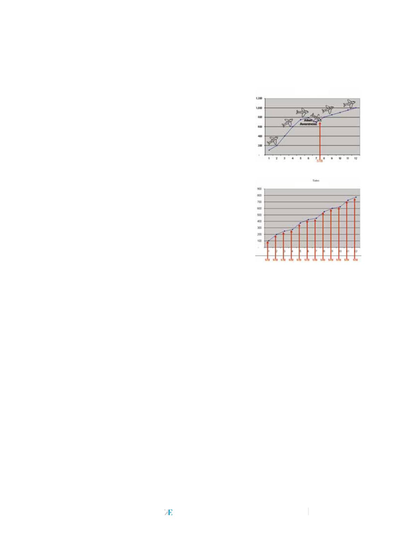
Po wprowadzeniu działań STB, sprzedaż wzrosła
(rys. 3). Bez tego nie można było uniknąć „efektu dzwo-
nu” i spadku sprzedaży. Przewidzenie i określenie termi-
nu tego spadku było dla mnie sprawą kluczową, w celu
uruchomienia STB w odpowiednim czasie, aby zapobiec
porażce. Wiele firm planowało wprowadzenie STB co
kwartał. Ta znana strategia STB była stosowana w celu
zapewnienia wzrostu sprzedaży z wyprzedzeniem,
a nie dopiero wtedy, gdy już rozpoczął się jej spadek.
Niektóry firmy preferują jeszcze bardziej agresywną
strategię STB, która opierała się na wprowadzaniu jej
co miesiąc. Taka strategia dotyczy głównie branży elek-
tronicznej i pokrewnych. Na przykład aparaty cyfrowe
i sprzęt wideo. Wprowadzanie nowych produktów STB
prawie co miesiąc, doprowadziło do tego, że produkt po
roku nie był już sprzedawany.
Wiele firm, które rozumiały niezastąpioną moc strate-
gii STB, planowało rozwój z rocznym, a nawet trzyletnim
wyprzedzeniem, w celu terminowego zrealizowania
planu osiągnięcia maksymalnego potencjału sprzedaży.
Moc strategii STB była tak silna, że aktywowała szpie-
gostwo przemysłowe. Konkurencyjne firmy starały się
dowiedzieć, co było kolejną rzeczą i kolejnym STB, aby
samemu zaplanować swoje akcje i osłabić konkurencję.
|
|
Komunikacja
Informacje o wprowadzeniu STB musiałam zdecydowa-
nie przekazać dotychczasowym, jak również potencjal-
nym klientom docelowym. Strategię tę uruchamiałam
w celu uniknięcia spadku sprzedaży, a nawet jej zwięk-
szenia. Wzrost zależał zarówno od dotychczasowych,
jak i nowych klientów. Dlatego wielkie znaczenie miały
dla mnie silne kampanie reklamowe z nowymi STB. Ina-
czej to po prostu nie zadziałało i moja firma mogła prze-
grać. Mogłam przyjąć strategię comiesięcznego wpro-
wadzania STB jako ostateczną formułę zapewniającą
wzrost gospodarczy, jednak planując z wyprzedzeniem.
Wprowadzenie nowych produktów i usług w moim sa-
lonie mogło być zarówno wydarzeniem STB i LTB. Zapa-
miętałamwzór:
nowe produkty = nowe STB = nowi klienci!
Milionerzy zamieniali wszyst-
ko w potężny STB, gdyż wszyst-
komogło być marką (STB) – także
określone wydarzenia i specjalne
okazje. Przykłady: nagrody EMI
to jednodniowa marka (wyda-
rzenie), rozdanie Oscarów to jed-
nodniowa marka (wydarzenie),
festiwal w Cannes to jednotygo-
dniowa marka (impreza). Zrozu-
mienie powyższych przykładów
i zasad jasno pokazało mi, że ist-
niały różne możliwości urucho-
mienia STB w ciągu całego roku.
Poniżej plan STB, który wprowa-
dziłam do mojego salonu w celu
zmaksymalizowania potencjału
sprzedaży.
|
|
Kalendarz STB
Styczeń: obchodyNowegoRoku
Luty: 14 – walentynki
Marzec: 8 – Dzień Kobiet;
karnawał
Kwiecień: 3 – Światowy Dzień Spotkań; Wielkanoc,
22 – Dzień Ziemi; początek wiosny
Maj: 1 – Święto Pracy; 26 – Dzień Matki
Czerwiec: 5 – Światowy Dzień Ochrony Środowiska,
21–DzieńOjca; początek lata; DzieńCzystego Powietrza
Lipiec: Wakacje; 23 – Światowy Dzień Młodzieży
Sierpień: Międzynarodowe Dni Przyjaźni
Wrzesień: 4 – Światowy Dzień Ochrony Zwierzą; po-
czątek jesieni; 15 –MiędzynarodowyDzieńDemokracji
Październik: 12 – Dzień Kolumba; Święto Dziękczy-
nienia; Halloween; Miesiąc Walki z Rakiem
Listopad: 17 – Międzynarodowy Dzień Studenta;
19 – Światowy Dzień Mężczyzny; początek zimy
Połączyłam z firmą doroczne wydarzenia kalendarzo-
we. Obchodziłam lub podkreślałam je i ich marki. Często
przekształcałam je w STB i trwały one dzień, tydzień lub
nawet cały miesiąc. Możliwość połączenia firmy z tymi
wydarzeniami jako STB stała się jednym z najsilniejszych
działań konkurencyjnych. Dlaczego? Pamiętając definicję
marki, przypominałam sobie, że jest to obietnica, oczeki-
wanie na coś. Obchody i promocje w danymmiesiącu (lato,
wiosna, rocznica, święto itp.) lub podkreślenie związku
firmy z wydarzeniami w określonym miesiącu (np.: Dzień
Ochrony Zwierząt, Dzień Ochrony Środowiska, Dzień
Wykres 3
Krzywa obrazująca spadek sprzedaży (miesiące 6-7)
i jej wzrost po podjęciu działań STB
Sprzedaż
Wykres 4
model agresywnej strategii STB (co miesiąc)
Sprzedaż
1...,83,84,85,86,87,88,89,90,91,92 94,95,96,97,98,99,100,101,102,103,...108
Powered by FlippingBook