KE 2016.02 - flip całe - page 43

2 / 2016 / vol. 5
Kosmetologia Estetyczna
153
N
artykuł naukowy
mikrobiologia
|
|
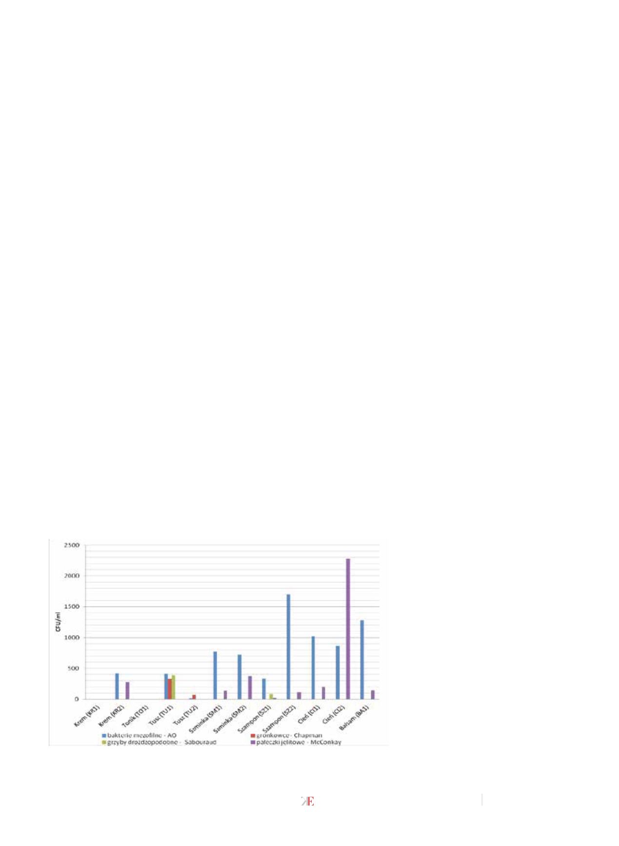
WYNIKI
Użyta w doświadczeniu, łączna liczba kosmetyków przeba-
danych pod kątem czystości mikrobiologicznej wyniosła 12.
Natomiast całkowita liczba próbek pobranych do badania
w odpowiednich rozcieńczeniach, tj. 1 ml i 0,1 ml, wyniosła 54.
W ocenie czystości mikrobiologicznej kosmetyków uwzględ-
nione zostało występowanie w ich składzie chemicznym kon-
serwantów, jak i termin ważności.
Łącznie stwierdzono wzrost drobnoustrojów w dziesięciu
kosmetykach. W kremie 1 (KR1) i toniku 1 (TO1) nie odnoto-
wano obecności mikroorganizmów. Dominującą grupą bakterii
wyizolowaną z kosmetyków były Gram-ujemne pałeczki, które
wyrosły na podłożu MacConkeya oraz na agarze odżywczym.
W ośmiu następujących kosmetykach:
szampon 1 (SZ1) 352 × 10° CFU/ml,
szampon 2 (SZ2) 1816 × 10° CFU/ml,
balsam 1 (BA1) 1420 × 10° CFU/ml,
krem 2 (KR2) 692 × 10° CFU/ml,
cień 1 (CI1) 1224 × 10° CFU/ml,
cień 2 (CI2) 3144 × 10° CFU/ml,
szminka 1 (SM1) 904 × 10° CFU/ml,
szminka 2 (SM2) 1100 × 10° CFU/ml
stwierdzono występowanie pałeczek jelitowych z rodziny
Enterobacteriacae
. W pozostałych dwóch próbkach wykazano
występowanie bakterii należących do grupy Gram-dodatnich
ziarniaków, wyrosłych na podłożach: agar odżywczy oraz
Chapmana. Kosmetyki, w których stwierdzono ich obec-
ność, to: tusz do rzęs 1 (TU1) łączne stężenie z trzech podłoży
1120 × 0° CFU/ml i tusz do rzęs 2 (TU2) łączne stężenie z dwóch
podłoży 88 × 0° CFU/ml (rys. 1). W szamponie 1 (SZ1), oprócz
obecności Gram-ujemnych pałeczek, stwierdzono obecność
grzybów drożdżopodobnych, rosnących na podłożu Sabourauda.
Porównując otrzymane wyniki dotyczące ogólnej liczby po-
pulacji mikroorganizmów, dominującą grupę bakterii stanowiły
Gram-ujemne pałeczki. Ich liczba była wielokrotnie większa od
pozostałych grup drobnoustrojów. Gram-dodatnie ziarniaki po-
jawiły się tylko w tuszach do rzęs. Analiza każdego rodzaju ko-
smetyku pozwala zauważyć, że największa liczba bakterii zosta-
ła wykryta w cieniach do powiek i jest ona przeważająca (rys. 1).
|
|
DYSKUSJA
Poziom zanieczyszczenia kosmetyku zależny jest zarówno od
jego rodzaju, jak i od przeznaczenia. Istotny jest fakt, że kosme-
tyki pielęgnacyjne, tj. szampony, kremy, toniki oraz balsamy,
przechowywane w warunkach sprzyjających rozwojowi drob-
noustrojów (łazienka), nie wykazały tak dużego wzrostu mikro-
organizmów, jak kosmetyki stosowane do makijażu. Różnica ta
ma prawdopodobnie związek ze sposobem aplikacji. W przy-
padku tuszów do rzęs, cieni do powiek czy szminek kontakt
ten jest bowiem zdecydowanie głębszy. W trakcie użytkowa-
nia tych produktów może dojść do kontaktu z błoną śluzową,
jednak wydaje się to mało prawdopodobne w przypadku cieni
do powiek. Różnica może wynikać z faktu, że szampony, toniki
i balsamy zazwyczaj używa się poprzez przechylenie opako-
wania i wylanie pożądanej objętości płynu natomiast cienie do
powiek, szminki i tusze do rzęs są używane wielokrotnie i po
kontakcie ze skórą ponownie są chowane w opakowaniu.
Kosmetyki kolorowe zawierają dużą ilość bezwodnych pro-
duktów w swoim składzie i tym samym ich termin ważności
zdecydowanie różni się od terminu produktów do pielęgnacji
ciała. Poddane analizie kosmetyki (tonik – TO1 i krem – KR2),
pomimo przekroczonych terminów ważności oraz przechowy-
wania ich w warunkach sprzyjających rozwojowi drobnoustro-
jów, nie wykazały obecności mikroorganizmów, co świadczy
prawdopodobnie o zastosowaniu dużej ilości konserwantów
hamujących ich rozwój.
Wyniki analizy wykazały, że na dwa-
naście kosmetyków, wykorzystanych do
badania czystości mikrobiologicznej, tyl-
ko dwa były wolne od zanieczyszczeń.
Dominującą grupą bakterii były Gram-
-ujemne pałeczki z rodziny
Enterobacte-
riaceae
, wyrosłe na podłożu MacConkeya
i agarze odżywczym, których zanie-
czyszczenie objęło aż osiem preparatów.
Rezultaty własnych badań różnią się
od większości wyników innych autorów.
Badania wykazały, że dominującymi bak-
teriami były Gram-ujemne pałeczki, naj-
prawdopodobniej
E.coli
. W pracy Onur-
dag i wsp. [10] były to drożdże z rodzaju
Candida
. Abu Shaqra i wsp. [11] stwier-
dzili obecność laseczek
Bacillus
spp.
,
pa-
łeczek niefermentujących
Pseudomonas
spp
.
i gronkowców koagulazo-ujemnych.
Rys. 1
Ogólna liczba wykrytych drobnoustrojów w testowanych kosmetykach (oryg.)
Źródło:
Opracowanie własne
1...,33,34,35,36,37,38,39,40,41,42 44,45,46,47,48,49,50,51,52,53,...104
Powered by FlippingBook