KE 2017.06 - Flipingbook - cały - page 15

6 / 2017 / vol. 6
Kosmetologia Estetyczna
563
artykuł naukowy
Kosmetologia Estetyczna
N
świeżość, bez konieczności przechowywania w ściśle określo-
nych ochronnych warunkach. Obecnie stężenia parabenów
w kosmetykach to na ogół mniej niż 0,3%, ale całkowite stęże-
nie może wynosić aż do 1% [6]. Idealny konserwant kosmetyków
powinien wykazywać aktywność zabójczą lub statyczną w sto-
sunku do możliwie szerokiego spektrum mikroorganizmów,
nie modyfikować naturalnej mikroflory na skórze ludzkiej, być
efektywny już w małych dawkach, być stabilnym w różnych
odczynach i temperaturach, nie ulegać rozkładowi przez okres
użytkowania kosmetyku, nie mieć zapachu ani barwy. Oprócz
tego powinien być w 100% nietoksyczny dla organizmu ludz-
kiego i powinien lepiej rozpuszczać się w wodzie niż tłuszczach
– jednakże te dwa warunki nie są spełnione w przypadku para-
benów. W preparatach często stosuje się sole sodowe parabe-
nów, ze względu na lepszą rozpuszczalność w roztworach wod-
nych. Alternatywnym rozwiązaniem jest tworzenie i używanie
w kosmetykach kompleksów parabenów z cyklodekstrynami
[7]. Najczęściej stosuje się reakcję kompleksowania z cyklodek-
strynami pochodzenia naturalnego, a metoda ta znana jest już
od lat sześćdziesiątych ubiegłego wieku [8].
Kwestia rozpuszczalności wodnej parabenów jest szeroko
badana, ponieważ konserwanty z tej grupy występują głównie
w specyfikach kosmetycznych zawierających znaczne ilości
wody, bowiem to w nich najłatwiej dochodzi do rozwoju mi-
kroorganizmów, np. w szamponach, preparatach do mycia i pie-
lęgnacji twarzy i ciała, odżywkach do włosów, lotionach.
Bezpieczeństwo stosowania parabenów jako konserwantów
kontrolowane jest przez stosowne regulacje prawne, lecz o ile
ustawy określają dopuszczalne stężenia pojedynczego związku
z grupy parabenów, o tyle nie ma jest wytycznych, dotyczą-
cych sumarycznej ilości zastosowanej mieszaniny parabenów
w danym specyfiku kosmetycznym. W Unii Europejskiej do-
puszczalna zawartość pojedynczego związku z grupy parabe-
nów wynosi obecnie 0,4%.
|
|
Fizykochemiczne właściwości parabenów
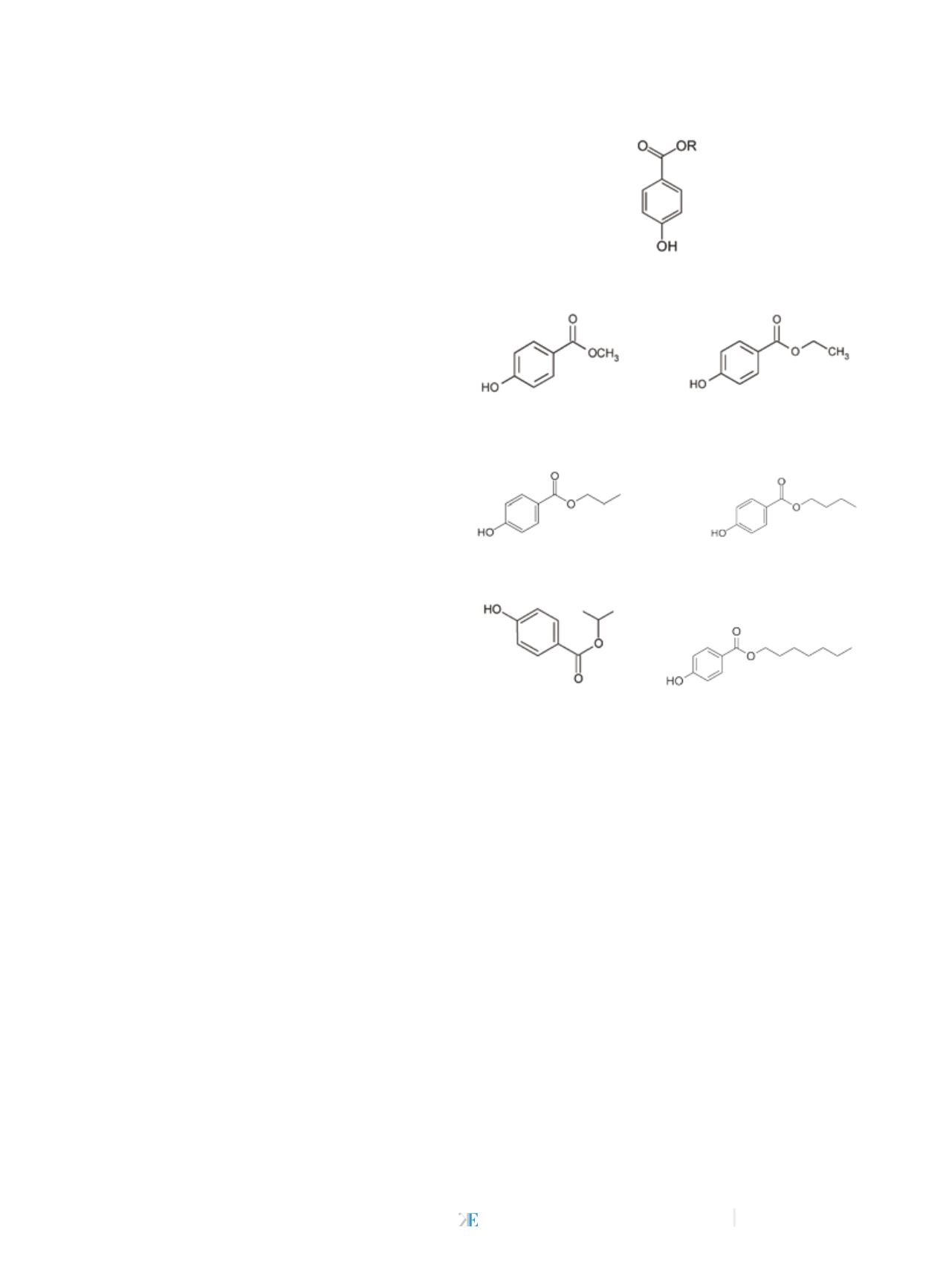
Parabeny to związki organiczne, będące estrami kwasu p­hy-
droksybenzoesowego, różniące się rodzajem grupy alkilowej
– podstawnikiem w pozycji
para
[6]. Nipaginy, czy też aseptyny,
to synonimy wyrazu parabeny. Znana jest cała rodzina takich
związków i wówczas w pozycji
para
występuje podstawnik
metylowy, etylowy, propylowy, butylowy, heptylowy czy ben-
zylowy. Wzór ogólny parabenów oraz struktury wybranych
związków z tej grupy zestawiono wraz z nazwami na rysun-
kach 1 i 2. Estry kwasu p­hydroksybenzoesowego są ciałami sta-
łymi, które formują się w postaci drobnych kryształów. Są bez-
barwne i bezzapachowe. W powietrzu są stabilne. Chemicznie
są raczej mało reaktywne, odporne na rozpad pod wpływem
wody i rozcieńczonych roztworów kwasów nieorganicznych,
a także organicznych. Aktywność przeciwdrobnoustrojowa
parabenów rośnie wraz ze wzrostem długości łańcucha alki-
lowego przykładowo:
metyloparaben < etyloparaben < propyloparaben < butyloparaben.
Rys. 1
Ogólna struktura parabenów
METYLPARABEN
ETYLPARABEN
Nazwa chemiczna:
Nazwa chemiczna:
4-hydroksybenzoesan metylu
4-hydroksybenzoesan etylu
Nazwa zwyczajowa:
Metyloparaben
Nazwa zwyczajowa:
Etyloparaben
PROPYLPARABEN
BUTYLPARABEN
Nazwa chemiczna:
Nazwa chemiczna:
4-hydroksybenzoesan propylu
hydroksybenzoesan butylu
Nazwa zwyczajowa:
Propyloparaben
Nazwa zwyczajowa:
Butyloparaben
ISOPROPYLPARABEN
HEPTYLPARABEN
Nazwa chemiczna:
Nazwa chemiczna:
4-hydroksybenzoesan izopropylu
4-hydroksybenzoesan heptylu
Nazwa zwyczajowa:
Izopropyloparaben
Nazwa zwyczajowa:
Heptyloparaben
Rys. 2
Struktury wybranych związków z grupy parabenów
Mimo że parabeny są strukturalnie zbliżone do kwasu sali-
cylowego i kwasu benzoesowego, to jednak mają odmienne
właściwości fizykochemiczne. Parabeny to związki lipofilowe
– dobrze rozpuszczają się w tłuszczach, natomiast słabo w wo-
dzie i roztworach wodnych. W wodzie najsłabiej rozpuszcza
się parahydroksybenzoesan benzylu natomiast parahydrok-
sybenzoesan metylu najlepiej – w miarę wzrostu długości łań-
cucha alkilowego rozpuszczalność w wodzie maleje i wzrasta
rozpuszczalność w tłuszczach. Parabeny wykazują zgodność
z substancjami o charakterze anionowym i kationowym w za-
kresie pH 3-8. Najbardziej trwałe są roztwory parabenów o pH
4-5, ich aktywność zależy od środowiska, w jakim się znajdują.
W niskich wartościach pH aktywność parabenów jest wysoka
przeciwko grzybom i pleśniom.
Badanie przenikalności i zatrzymywania w skórze trzech
popularnych konserwantów (metylo-, etylo- i propyloparabe-
nu) wykazało, że stopień ich przenikania w niewielkim stopniu
uzależniony jest od podłoża produktu, głównie ma znaczenie
rozpuszczalność i lipofilność. Po upływie ośmiu godzin od
1...,5,6,7,8,9,10,11,12,13,14 16,17,18,19,20,21,22,23,24,25,...122
Powered by FlippingBook