KE 2017.05 - Flipingbook - caly - page 103

5 / 2017 / vol. 6
Kosmetologia Estetyczna
533
N
artykuł naukowy
dermatologia
|
|
Terapia światłem LED
Dioda elektroluminescencyjna (LED) jest to urządzenie półprze-
wodnikowe, emitujące niekoherentną wiązkę o wąskim spek-
trum światła. W przeciwieństwie do laserów i innych źródeł
światła, jak np. IPL, urządzenia LED nie wywierają wpływu ter-
micznego na skórę, są całkowicie bezpieczne, niedrogie w eksplo-
atacji i mogą być przeznaczone do użytku domowego. Terapia LED
wykorzystuje światło o długości fali między 390 nm a 1400 nm,
w postaci fali ciągłej lub impulsów. Zazwyczaj stosuje się małe
gęstości energii (0,04-50 j/cm
2
) i moc (poniżej 100 mW/cm
2
).
Długości fal w zakresie od 390 nmdo 600 nm są stosowane do le-
czenia tkanek powierzchniowych, a w zakresie powyżej 600 nm
– do głębszych partii [19]. Światło widzialne o długości fali 600-
1400 nm, emitowane przez diody LED, przenika nie tylko do skó-
ry, lecz także do tkanki podskórnej (stąd nazwa „oko optyczne”
skóry). Mechanizm działania polega na fotobiomodulacji fibro-
blastów, a także mastocytów, makrofagów, komórek śródbłonka
i limfocytówT, stymulujących działanie i funkcje komórek skóry
[22]. Poszczególne barwy światła wykorzystywane są do terapii
różnorakich schorzeń i zmian skórnych. Wprzypadku zaburzeń
pigmentacyjnych związanych z wiekiem zastosowanie znalazła
głęboko przenikająca podczerwień. Eksperymenty medyczne
NASA wykazały, że czerwone światło o długości 633-640 nm
zwiększa pięciokrotnie produkcję kolagenu, a połączone z pod-
czerwienią powoduje dwukrotnie szybszy wzrost komórek. Do-
wiedziono, że czterotygodniowa terapia LED przyniosła znacz-
ną poprawę tekstury twarzy, redukcję zmarszczek i likwidację
przebarwień, a połączenie fal o długości­633 nm i 830 nm zaha-
mowało procesy fotostarzenia w 20-50% aż u 52% badanych [19].
|
|
Nakłuwanie skóry
Nakłuwanie skóry (
Skin needling
)
to
metoda wykorzystująca
sterylne igły akupunkturyczne lub urządzenia z systemem mi-
kroigiełek typu dermapen. Poprzez precyzyjne nakłucia odpo-
wiedniej warstwy skóry wytwarzane są miniurazy, które uru-
chamiają procesy naprawcze uszkodzonych tkanek. Dochodzi
do reaktywowania i pobudzania prawidłowej produkcji mela-
nocytów na obszarach przebarwionych, co pomaga powrócić
skórze do jej naturalnego zabarwienia. Skuteczność tego typu
zabiegów osiąga nawet 90% w przypadku usuwania białych
plam skórnych, ciemnych przebarwień posłonecznych oraz
plam starczych. W przypadku odbudowy melanocytów tech-
nika skin needling jest terapią głębokich nakłuć dochodzących
aż do warstwy skóry właściwej [23].
|
|
METODY ZAPOBIEGANIA POWSTAWANIU
STARCZYCH PLAM BARWNIKOWYCH
Podstawowym działaniem mającym na celu uniknięcie po-
wstawania przebarwień związanych z wiekiem oraz zachowa-
nie skuteczności przeprowadzonych zabiegów ich usuwania
jest ochrona przed promieniowaniem ultrafioletowym. Zakres
ochrony powinien obejmować szerokie spektrum promie-
niowania z zakresu UVB (290-320 nm) i UVA (320-400 nm).
Unikanie nadmiernej ekspozycji na promieniowanie słoneczne
oraz stosowanie kremów z wysokimi filtrami przez cały rok –
zimą minimum 25 SPF, a latem powyżej 30 SPF stanowi pierw-
szą linię obrony przed wszelkimi plamami barwnikowymi.
Dodatkowym zabezpieczeniem powinny być ubrania, nakry-
cia głowy i okulary przeciwsłoneczne. Ponadto osoby w pode-
szłym wieku obserwujące nasilanie zaburzeń barwnikowych
powinny stale stosować dermokosmetyki lub leki zawierające
substancje rozjaśniające, które hamują powstawanie melaniny
na drodze enzymatycznej i działają złuszczająco poprzez usu-
wanie komórek zawierających barwnik [14, 19].
|
|
PODSUMOWANIE
Starzenie się organizmu ludzkiego to długotrwały, postępujący
i nieodwracalny proces fizjologiczny ze zmiennym spektrum
objawów klinicznych, rozpoczynający się już w wieku średnim
i nasilający się dynamicznie wraz z upływem czasu. Proces
ten dotyczy wszystkich narządów, w tym również skóry. Kla-
sycznie w literaturze istnieje podział na dwa typy starzenia
się skóry: chronologiczne – związane z wiekiem i fotostarze-
nie – związane z ekspozycją na promieniowanie UV. U ludzi
starszych dochodzi do nakładania się obu rodzajów starze-
nia skóry. Zmiany zachodzą w każdej z jej warstw: naskórku,
w skórze właściwej i tkance podskórnej. Z wiekiem nie tylko
zmienia się struktura skóry, ale dochodzi również do zabu-
rzeń jej funkcji. Pojawiają się zmarszczki, utrata elastyczno-
ści, odbarwienia i obszary hiperpigmentacji. Do najczęstszych
manifestacji starzenia skóry zalicza się plamy soczewicowate,
brodawki łojotokowe i rogowacenie słoneczne. Mimo iż zwykle
są to defekty jedynie kosmetyczne, należy je stale kontrolować
i jeśli nie ma ku temu przeciwwskazań, w miarę możliwości
usuwać. Dostępne techniki zabiegowe dają szerokie spektrum
działania w usuwaniu zmian barwnikowych. Wybór metod
i powodzenie leczenia zależą od wielu czynników. Zabiegi es-
tetyczne, które nieustannie się rozwijają, dają pacjentom coraz
to nowsze możliwości, ułatwiają leczenie, zapobiegają trwałym
powikłaniom i mają ogromne znaczenie ze względu na proble-
my psychosocjalne związane z dysfunkcjami skóry. Wszelkie
stosowane metody leczenia, tj. farmakoterapia, peelingi, złusz-
czanie, nakłuwanie czy laseroterapia, powinny być połączone
z właściwą fotoprotekcją, aby raz usunięte zmiany barwniko-
we nie powracały.
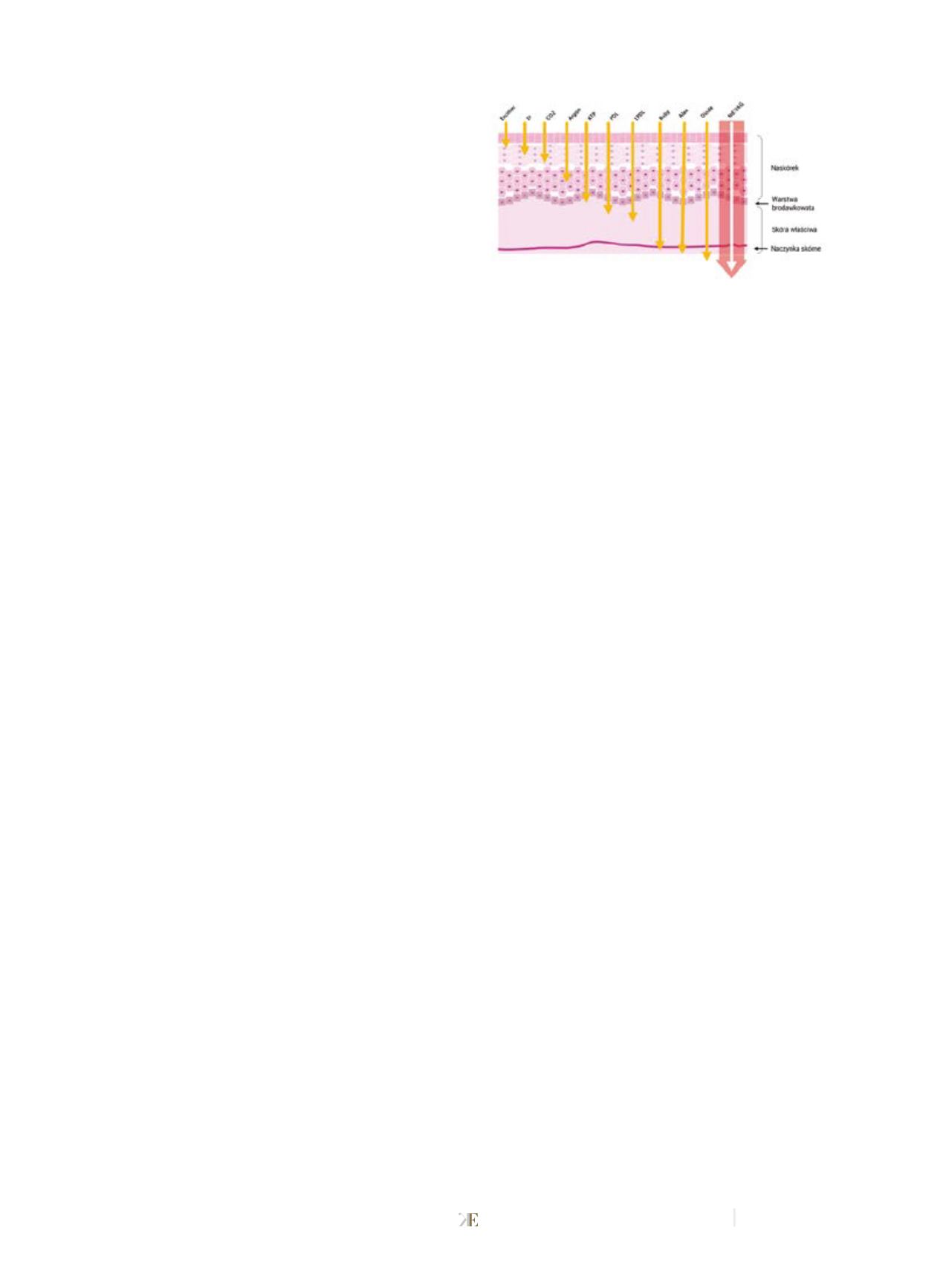
Fot. 6
Długość fali lasera a głębokość penetracji skóry
Źródło:
[VI]
1...,93,94,95,96,97,98,99,100,101,102 104,105,106,107,108,109,110,111,112,113,...122
Powered by FlippingBook