KE 2018.3 calosc - page 19

3 / 2018 / vol. 7
Kosmetologia Estetyczna
261
artykuł naukowy
Kosmetologia Estetyczna
N
Zdecydowana większość respondentów, u których stosowa-
no redukowanie przebarwień, stwierdziła, że nie wystąpiły
u nich jakiekolwiek skutki uboczne. W niewielkim odsetku
przypadków dochodziło do niewielkich, które jednak ustępo-
wały po jakimś czasie.
Do przemijających skutków ubocznych (takich jak przebar-
wienia powstałe po kontakcie z promieniowaniem słonecznym,
które jednak ustąpiły po pewnym czasie) przyznało się 10%
respondentów leczonych za pomocą mikrodermabrazji oraz
tyle samo klientów poddawanych terapii kwasem glikolowym.
W nieco większej liczbie przypadków (20%) przemijające skutki
uboczne wystąpiły u respondentów, u których stosowano TCA
oraz terapie intensywnym światłem impulsowym IPL. W przy-
padku metody GA i TCA odsetek ten sięgnął 30%. Warto za-
uważyć, że jedyną metodą, w odniesieniu do której zanotowano
trwały skutek uboczny, było TCA. Jednocześnie jednak należy
zaznaczyć, że sytuacja ta miała miejsce jedynie w przypadku
jednej klientki, która odpowiadała 10% liczebności swojej gru-
py. Co więcej, należy zaznaczyć, że badana ta wystawiła skórę
na ekspozycję słoneczną już po trzech dniach od wykonania
zabiegu, mimo że została poinformowana, że redukcja zmian
pigmentacyjnych za pomocą peelingu kwasem TCA niesie za
sobą pewne ryzyko wystąpienia przebarwień pozabiegowych
– jeśli nie zostaną ograniczone do minimum wszelkie dodatko-
we czynniki predysponujące do powstania tego typu skutków
ubocznych (na przykład przebywanie na pełnym słońcu przez
dłuższy czas w okresie bezpośrednio następującym po wykona-
niu zabiegu). W opisanym przypadku doszło do zignorowania
informacji po zabiegowych udzielonych klientce.
Na ostatnim etapie poproszono respondentów, by raz jesz-
cze przeanalizowali następujące aspekty:
skuteczność zastosowanej u nich metody redukcji przebar-
wień skórnych,
liczba sesji zabiegowych, jaką trzeba było wykonać, by osią-
gnąć pożądany efekt,
skutki uboczne, jakie towarzyszyły wykonywaniu zastoso-
wanej u nich metody,
inwazyjność zastosowanej metody,
a następnie – by raz jeszcze wskazali na podstawie powyż-
szych parametrów „ocenę ogólną” danej metody redukcji
przebarwień – gdzie wynikające jej pozytywne aspekty (to
na przykład, wysoka skuteczność redukcji przebarwień) oraz
negatywne aspekty (takie jak na przykład – wysoka inwazyj-
ność). Na tej podstawie respondenci udzielili kolejnych odpo-
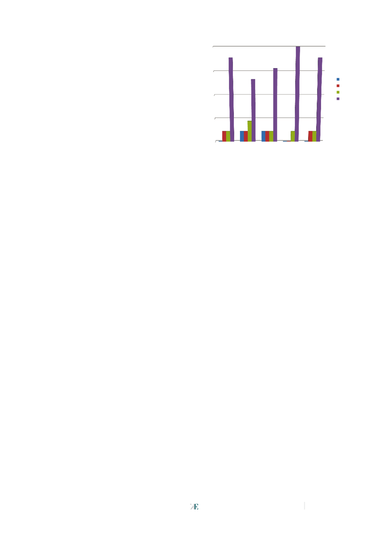
wiedzi, stawiając „ocenę ogólną”. Rys. 6 przedstawia ocenę
ogólną skuteczności pięciu metod redukcji przebarwień.
0
2
5
7
9
Mikrodermabrazja
IPL
0
1
1
0
0
1
1
1
0
1
1
2
1
1
1
8
6
7
9
8
Liczba odpowiedzi
Metodyredukcjiprzebarwień
Skuteczność pięciu metod redukcji przebarwień
Ocena 3
Ocena 4
Ocena 5
Ocena 6
Rys. 6
Skuteczność pięciu metod redukcji przebarwień
Źródło:
Opracowanie własne
WNIOSKI
Na podstawie uzyskanych wyników badań własnych wycią-
gnięto następujące wnioski:
1.
Metodą, która odniosła najwyższą ocenę w redukcji prze-
barwień skóry twarzy, jest terapia intensywnym światłem
impulsowym IPL, w drugiej kolejności mikrodermabrazja,
zaś w trzeciej – peeling kwasem glikolowym i TCA. Peeling
kwasem glikolowym cechuje się niską inwazyjnością oraz
niskim ryzykiem powikłań, jednak jest stosunkowo mało
skuteczny. Peeling kwasem TCA wykazuje wyższą skutecz-
ność od GA, ale wiąże się z nieco większym ryzykiem wy-
stąpienia skutków ubocznych.
2.
Techniką redukcji przebarwień, która wymaga wykonania
najmniejszej liczby zabiegów (sesji zabiegowych) jest terapia
intensywnym światłem impulsowym IPL.
3.
Najmniej skutków ubocznych (takich jak rumień, pieczenie
skóry po zabiegu, przekrwienie skóry po zabiegi, drobne
zranienia skóry występujące po zabiegu, wysoka wrażli-
wość skóry itp.) występuje w opinii respondentów po wyko-
naniu peelingu kwasem glikolowym, kwasem glikolowym
wraz z TCA oraz po mikrodermabrazji.
4.
Najniższą inwazyjnością (definiowaną na przykład jako
odczuwanie bolesności podczas zabiegu, odczuwanie silne-
go dyskomfortu lub pewnego stopnia uszkodzenia tkanek
okolicznych – niebędących bezpośrednim celem zabiegu)
cechują się według ankietowanych: mikrodermabrazja oraz
peeling kwasem glikolowym.
5.
Metodami o ogólnej najwyższej skuteczności zdaniem respon-
dentów są odpowiednio: terapia intensywnym światłem im-
pulsowym IPL, mikrodermabrazja oraz peeling GA plus TCA.
6.
W zdecydowanej większości przypadków nie dochodzi do
rozwoju powikłań po zastosowaniu którejkolwiek z bada-
nych metod redukcji przebarwień, tylko w odniesieniu do
TCA zanotowano skutki uboczne o charakterze przebar-
wień pozabiegowych.
1...,9,10,11,12,13,14,15,16,17,18 20,21,22,23,24,25,26,27,28,29,...116
Powered by FlippingBook